| Integral of Exponential Functions - Assessment |

Dec. 24, 2024, 10:47 a.m.

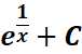
1. What is the correct answer for this given:

  • Option

  • Option

  • Option

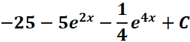
2. What is the correct answer for this given:

  • Option

  • Option

  • Option

3. What is the correct answer for this given:

  • Option

  • Option

  • Option

    All of the above.

4. What is the correct answer for this given:

  • Option

    All of the below.

  • Option

  • Option

5. What is the correct answer for this given:

  • Option

  • Option

  • Option