| Limits - Assessment |

Sept. 3, 2024, 4:58 p.m.

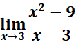
1. What is the correct answer for this given:

  • Option

    6

  • Option

    10

  • Option

    9

2. What is the correct answer for this given:

  • Option

    4

  • Option

    -2

  • Option

    11

3. What is the correct answer for this given:

  • Option

    7

  • Option

    15

  • Option

    8

4. What is the correct answer for this given:

  • Option

    2

  • Option

    5

  • Option

    -2

5. What is the correct answer for this given:

  • Option

    9

  • Option

    15

  • Option

    4